摘要:討論了引發劑、反應溫度及單體比對合成共聚物的影響;用傅立葉紅外光譜儀FT-IR200,Quanta 200型掃描電子顯微鏡、QFZ - II型附著力測試儀等測試了氟硅材料性能,經分析表明該材料不僅有較好的憎水性,同時有很好的附著力、硬度和耐候性,是一種性能較好的石材http://www.stonebuy.com/防護材料。www.stonebuy.com
關鍵詞:氟硅共聚物 有機硅 有機氟 防護材料
引言
石材http://www.stonebuy.com/是應用最廣泛的建筑材料,從古代的石窟、石橋、石塔到現代普遍使用的各種裝飾石材http://www.stonebuy.com/以及各種巖畫、雕像、壁刻和紀念碑等,這些使用的石材http://www.stonebuy.com/大部分暴露在自然界的風化環境中,特別是近代工業的發展,環境污染對石材http://www.stonebuy.com/腐蝕的威脅更加嚴重,隨著科學技術的發展,人們逐步認識到正確使用石材http://www.stonebuy.com/防護劑可以減緩石材http://www.stonebuy.com/的腐蝕和污損,并預防多種石材http://www.stonebuy.com/病。
石材http://www.stonebuy.com/表面防護劑的種類很多,無機表面防護劑和有機表面防護劑;半永久性防護(石蠟、硅油等)和久性防護(如樹脂涂料);表面成膜型和滲透固結型;等等。在這篇文章中研究的是新型有機表面防護劑。
有機硅樹脂具有較低的表面能,可以低到21-22mN/m,是較為理想的防水、防污材料,且耐腐蝕性、耐高低穩性能也較好。但有機硅樹脂也有不少缺點,成膜性能較差,涂膜附著力差,涂膜耐溶劑性差,溫度較高時漆膜機械http://www.stonebuy.com/machine/強度不好。
有機氟化合物中氟原子的電負性大,直徑小,且C-F鍵能高,可使水的表面張力顯著降低,全氟烷烴表面張力低至l0mN/m同時與氫原子相比,氟原子更容易將C-F鍵屏蔽起來,保持高度的穩定性,因此含氟化合物具有“三高”(高表面活性、高耐熱性、高化學穩定性)及”兩憎”(憎水、憎油)的特性。但存在的問題是需要高溫交聯,在溶劑中的溶解性欠佳,價格較貴等有機硅、有機氟各有優點及不足。將它們有機結合起來,則能互相取長補短,優勢互補。制備出具有卓越防水、防油、耐站污、耐老化等性能的新型石材http://www.stonebuy.com/防護材料。
實驗部分
1.1原料
甲基丙烯酸2, 2, 2一三氟乙酯(TFEMA),哈爾濱雪佳氟硅化學有限公司;甲基丙烯酸差勁乙酯(HEMA)無錫市利潤化工有限公司;乙烯基三乙氧基硅烷((KH151),南京和福化工廠;乙酸丁酯,海久億化學試劑有限公司;偶氮二異丁腈(AIBN),湖北成宇宙制藥有限公司;HDI三聚體,上海三浦化工有限公司。
1.2主要分析儀器
傅立葉紅外光譜儀FT-IR200 , Quanta 200型掃描電子顯微鏡、QFZ一П型附著力測試儀、QHQ型涂膜鉛筆劃痕硬度儀
1.3氟硅材料的合成
(1)合成機理

(2)合成步驟
將部分甲基丙烯酸三氟乙醋、甲基丙烯酸輕乙酯、乙烯基三乙氧基硅烷單體和部分引發劑一起加人到溶劑中,待引發劑溶解后倒入250m1的四口燒瓶中,加熱攪拌聚合反應1h后,將剩余引發劑和單體分2h滴完,再反應1h后冷卻出料。oacwf.cn
2結果與討論
2.1引發劑選擇及用量對氟硅材料性能的影響
溶液聚合常用的引發劑主要有BPO, AIBN。聚合中若使用BPO,則其分解時生成的苯基自由基特別活潑,可以奪取聚合物鏈上的氫原子,從而使聚合物形成支鏈,且BPO可在聚合物中引人可吸收紫外光的苯環,其抗紫外性能將受到影響,材料在陽光暴曬下會變黃。而使用AIBN引發劑,其分解時生成的丁腈自由基則較穩定,不易進行奪氫反應,因此采用AIBN引發劑,可得到分子量分布窄的聚合物,且引發效率高,抗紫外性能好。
引發聚合形成聚合物的聚合度與引發劑濃度的平方根呈反比,即引發劑用量增加,聚合度下降,分子量降低,聚合物強度下降,鉛筆硬度下降,從引發劑AIBN用量為0.2%時的4H下降到引發劑用量為0.6 %時的2H。當引發劑用量為0.1%時,共聚物是淡黃色液體,和水的鉆度相當,可以知道引發劑沒有引發單體聚合反應。當引發劑用量為0.7%時反應很是劇烈,在短時間內迅速聚合反應凝膠,反應很難控制。(反應的溫度控制在85 }C)從表1可知引發劑的用量應控制在0.2%一0.6 % 。

2.2溫度對氟硅材料的影響
由表2可知,當溫度為75℃時,在一定的時間內,引發劑理論上是分解了,但還是沒有能夠很好的引發聚合,當溫度為95℃時,在極短的時間內,引發劑迅速引發聚合,發生暴聚。而在同樣的時間內,溫度在80一90℃之間時,反應很平穩,并通過測試聚合物黏度可以知道,隨著溫度的升高產物的平均聚合度降低,分子量減小。

2.3單體比對氟硅材料的影響
由表3可知,氟硅材料的附著力隨著HEMA的用量增加而增大,這是因為HEMA的用量增大會增加共聚物中的活潑羥基的含量,因此附著力是逐漸增大的。而合成氟硅材料的接觸角是隨著TFEMA的用量的增加而增大,隨著TFEMA的用量的增加共聚物中側鏈含氟量增多,因此材料的憎水性增強。

2.4紅外光譜分析
圖6是氟一硅一丙共聚物紅外光譜圖,1734-1744cm處為羧基或碳基吸收峰;圖4, 5中968crn 是C=C伸縮振動峰,而圖6氟一硅一丙共聚物譜圖中在此處無吸收峰,說明體系中C=C雙鍵基本反應完全,據此判斷氟單體和硅單體和丙烯酸酯單體反應物幾乎全部參加了聚合反應;圖4, 5, 6中2965-2985crn處為一CH3伸縮振動峰;圖4中1109-1179cm處為Si一O伸縮振動的特征吸收峰;而圖6和圖5中1290cm處出現的吸收峰則是C一F鍵伸縮振動特制峰;由于F元素的電負性誘導效應,圖譜中1731cm處的C=O鍵伸縮振動峰向高波數發生了位移通過紅外光譜的分析可以推斷,氟單體和有機硅單體和丙烯酸酯單體發生了共聚反應。




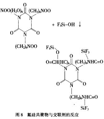
2.5交聯特性
采用一種不含芳烴,不易泛黃變色、低揮發、低毒性的脂肪族多官能團異氰酸酯HDI三聚體交聯材料。可以與氟一硅一丙共聚物中的羥基進行適度交聯反應(見圖8),進一步改善了氟硅材料的綜合性能,交聯劑的用量一般取一NCO/-OH = 1:1(當量比)。
由表4可知,在交聯劑HDI三聚體的作用下發生交聯固化反應,使得聚合物物理力學強度增大,鉛筆硬度從2H提高到4H,但水的接觸角幾乎不變。同時20 %氟硅共聚物比10%FEVE樹脂有更好的接觸角。p

ic.stonebuy.com
2.6毛細吸水率
毛細吸水系數從另一個方面表征防護處理后試樣的憎水性。將金屬網置于適當的容器中,試樣放在網上,然后慢慢添加去離子水,加入的量以確保水不直接與樣品接觸,使水僅靠毛細管作用進人試樣內部,每隔一定時間記錄水的吸收量,作單位面積吸水量隨時間變化曲線,并按公式計算出單位時間、單位面積吸收水的量。

由圖9所示,并計算毛細吸水系數W24(表6)可知:經防護處理后,試樣得毛細吸水系數都有了不同程度的降低,說明其憎水性有明顯的提高。其中以20%氟硅防護材料體系處理后憎水性最好,基本上無毛細現象。而10%氟硅防護材料體系由于其濃度較低,表面成膜不完整,所以憎水效果不太理想。10%FEVE樹脂處理后,其毛細現象也不明顯。


2.7加速老化試驗
陽光曝曬對有機物特別是聚合物材料的危害作用主要是紫外光和氧參與下的一系列復雜反應所造成。紫外線的波長集中在200一400nm之間。聚合物在含氧環境中受紫外光照射后會發生各種物理變化和化學變化,以致最后產生明顯的效應,如變色、表面龜裂、粉化、機械http://www.stonebuy.com/machine/性能等。
采用熒光紫光照射和冷凝暴露的循環試驗,可較好地模擬自然界陽光和露水造成的破壞作用。
對處理好的試樣進行加速老化試驗。每隔一段時間測一下它們的接觸角。

圖10表明,三種處理后的試樣經老化后,其接觸角總的趨勢均隨著老化時間的延長而減小,但減小到一定值后均趨于穩定,保留一定的憎水性,同時也證明了含氟材料優異的耐候性。20 %氟硅材料耐老化能力最強,接觸角減小的幅度最小,30天后仍然保持76°的接觸角。
2.8掃描電鏡分析
用Quanta 200型掃描電子顯微鏡觀察封護處理前后試樣:圖11中空白石材http://www.stonebuy.com/試樣有較大的孔隙和凹洞。圖12中可以看見其凹洞被氟硅材料填充了,大孔隙消失了,但仍然有較小的孔隙存在,這保留了石材http://www.stonebuy.com/有一定的透氣性;表面零散的碎片也被防護材料粘結在一起,增加了石材http://www.stonebuy.com/的抗風化能力。


3結論
以上研究表明,含氟聚合物自身具有穩定性高、耐腐蝕、耐紫外光老化等良好的特點,能與丙烯酸和有機硅共聚,其共聚物是石材http://www.stonebuy.com/的有效防護劑,同時也改進了丙烯酸的脆性和有機硅的成膜性能和耐溶劑性。合成的新型石材http://www.stonebuy.com/防護材料一氟硅材料不僅具有較好的憎水性、透氣性,而且也有較好的硬度、粘結力和較好的室外耐候性。mag.stonebuy.com
含氟共聚物材料作為石材http://www.stonebuy.com/防護劑性能較好,但含氟化合物價格昂貴。有機硅系列材料的價格低于氟材料,但性能稍差,通過各種方法對它進行改性,減少含氟單體用量,是降低材料成本的一條可行的路徑。
福鼎黑,雞血紅,G684,沙漠棕、青石,福鼎黑火燒
芝麻白,芝麻灰,海浪花,中國紅,染色紅
河南芝麻灰,梨花白,梨花紅,珍珠灰,染黑板,染紅板,中華綠,芝麻白,